显然拉压杆内一点处的应力随所取截面的方位变化而变化。构件内一点的应力与点的位置及过该点平面的方位有关。在受力构件的同一截面上,各点处的应力一般是不同的,而通过受力构件内的同一点处,不同方位截面上的应力一般也是不同的。
轴向拉压杆的横截面上有最大的正应力,其强度条件为
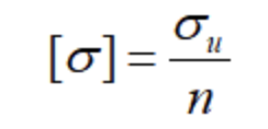
σu是材料的失效应力,可以通过单向拉伸试验测得,塑性材料取屈服极限,脆性材料取强度极限。
梁发生对称弯曲时的弯曲应力分布(如矩形截面)如下图
在上下边缘处有最大的正应力,切应力为零,与拉压杆内各点的应力情况一样,处于单轴应力状态,所以强度条件与拉压杆相同
梁的最大切应力在中性轴上,正应力为零,与圆轴扭转横截面上各点的应力情况相同,处于纯剪切应力状态,可通过扭转试验测量材料的极限应力,强度条件为
正应力和切应力的许用应力都是通过试验测得材料的极限应力,并除以安全因数得到。
梁横截面上除了上下边缘和中性轴,其他各点处既有正应力,又有切应力,在通常情况下,受力构件内一点处往往应力比较复杂,要进行强度计算,就不能简单的分别按正应力或切应力来建立强度条件,而是需要综合考虑正应力和切应力的影响。
这就需要通过分析一点在各个不同方位截面上应力的变化规律,确定最大正应力和最大切应力及其所在截面的方位,在复杂应力状态下,显然不能简单的通过试验方法得到材料的强度条件,根据材料的失效形式,寻找引起材料失效的原因,根据一定的理论依据,通过简单试验确定失效条件,从而建立复杂应力状态的强度条件。
通过受力构件内一点所有平面上的应力情况的总和,称为该点的应力状态。
为了研究构件内一点的应力,围绕该点取微小正六面体,称为单元体,如下图
单元体的尺寸无限小,设每个平面上的应力均匀分布,根据平衡条件,任意一对相互平行平面的应力大小相等,方向相反,因此单元体的应力描述只需要说明三个平面上的应力即可。每个平面上有三个应力分量,一个正应力,两个切应力,共有九个应力分量,根据切应力互等定理,则有六个独立的应力分量,三个正应力、三个切应力
若单元体的平面上切应力为零时,该平面称为主平面,对应的正应力称为主应力,当单元体三个方向的平面均为主平面时,单元体称为主单元体。
主应力按代数值大小排序
当三个主应力中只有一个不为零时,称为单向应力状态;只有一个为零,称为二向应力状态(或平面应力状态);三个均不为零,称为三向应力状态(或空间应力状态)。
对构件内一点应力分析的目的,就是确定该点的主应力,及其主平面的方位。
轴向拉压杆的横截面上只有正应力,杆内各点均处于单向应力状态。
薄壁压力容器在内压作用下,筒壁各点处于二向应力状态。
火车轮与铁轨接触点,处于三向应力状态,且三个主应力均为压应力
单向应力状态(如拉伸或压缩变形),已经根据试验确定材料的失效应力,并给出了杆件的强度条件,构件中的危险点往往出现在构件的表面,而构件表面上的点一般处于二向应力状态,二向应力状态分析是材料力学中的重要内容。
解析法:
所谓二向应力状态即有一个主应力为零,为了方便,设z方向平面应力为零,即
在平面应力状态中,规定拉应力为正,切应力对单元体内任意一点取矩顺时针为正。
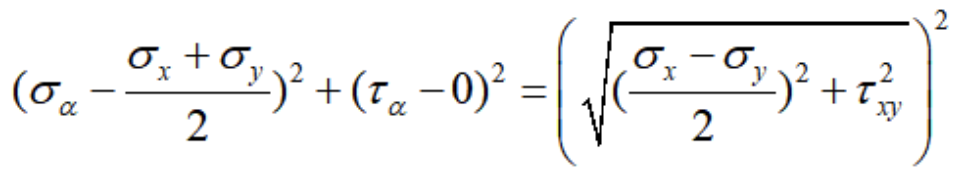
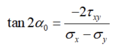
应力分析的目的是确定单元体的主应力和主平面的方位,主平面即切应力为零的平面。在单元体上任意取一个斜截面,计算斜截面上的应力,显然斜截面上的应力与截面的方位有关系,然后令切应力为零,就可以确定主平面方位,进一步确定主应力的大小。
任意斜截面的方位角,从x轴向平面外法线方向n转动,逆时针为正。取三角形单元abc设斜截面ab的面积为dA,应力为σa、τa,受力如上图所示,建立三角形单元体的平衡方程
可以解得任意斜截面的应力.png)
可求得主平面的方位α0及α0+90°。把主平面的方位代入(1)式,可求得主应力。
从(1)(2)可见,斜截面上的应力是方位角的周期函数,下面计算正应力的极值,令正应力对方位角导数等于零。
显然正应力取极值时,切应力等于零,即正应力的极值就是主应力,主应力大小
可见切应力极值所在平面与主应力所在平面的夹角为45度。
图解法:
把(1)(2)式重写
若以正应力为横轴,以切应力为纵轴,上述方程描述的是一个圆周,称为应力圆(或莫尔圆),即在单元体上任意取一个与z轴平行的斜截面,以斜截面上的正应力为横坐标,以切应力为纵坐标,所得的点均在莫尔圆的圆周上。
应力圆的做法:
①以正应力为横坐标,切应力为纵坐标,建立坐标系;
②分别以单元体上两个不平行的平面上的正应力和切应力,分别为横坐标和纵坐标,描点A、B;
③连接A、B两点,作AB的中垂线,中垂线与横轴的交点即为圆心C,AC(或BC)为半径,作应力圆。
从上图中可见,应力圆与横轴的交点D、E对应的就是主应力,应力圆的最高点和最低点M、N切应力的极值。
若以法线方向为x轴的平面上的应力画点A(σx,τxy),以法线方向为y轴的平面上的应力画点B(σy,τyx),根据切应力互等定理,τxy和τyx大小相等,符号相反,即A、B两点的纵坐标大小相等,一个在横轴上边,一个在横轴下边,连接AB点与横轴的交点C,由几何关系可知C点的坐标为
即为应力圆的圆心。
应力圆与单元体的对应关系为:点面对应、两倍夹角、转向一致。
点面对应:应力圆上的一个点,对应单元体上一个斜截面,是一一对应关系;
两倍夹角:应力圆上两个点所夹圆弧对应的圆心角,是两个斜截面夹角的两倍;
转向一致:应力圆上从一点到另外一点的转向,与对应的两个斜截面的转向一致。
应力圆直观地描述了单元体各个平面上的应力情况,应力圆与横轴的交点对应的应力值即为主应力大小,圆心坐标加上半径为最大正应力,圆心坐标减去半径即为最小正应力(与主应力的解析表达式一致)。圆的半径即为最大切应力大小(与最大切应力的解析表达式一致)。
如果应力圆上从A点顺时针转到E点的转角为2α0,对应单元体上从x轴顺时针转动角α0方向即为主平面方位,如上图所示。
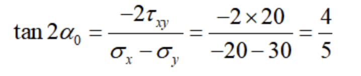
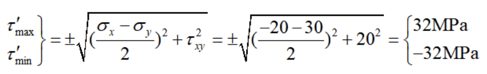
例1:如图所示应力状态,图中的应力单位为MPa,试用解析法及图解法求:(1)主应力大小,主平面的方位;(2)在单元体上绘出主平面位置及主应力方向;(3)最大切应力。
(当σx>σy时,小角度α0对应最大的正应力;当σx<σy时,大角度α0对应最大的正应力)
本题σx<σy,α0=109.33°(或-70.67°)对应最大的正应力。
主平面方位如图所示。
最大切应力
图解法
以正应力为横坐标,切应力为纵坐标,建立坐标系(每单位长度:5MPa),点A的坐标(-20,20),点B坐标(30,-20)。
作应力圆如图所示,由CA逆时针旋转2α0,D点对应最小正应力,主单元体如右图所示。
可以通过测量得到2σ0=38°,D点横坐标27(MPa),E点横坐标27(MPa)。即对应两个主应力
所以α0=19.33°
例2 已知平面应力状态下某点处的两个截面上的应力如图,试用应力圆求该点处的主应力值和主平面方位,并求两截面间的夹角a值。
解:在坐标系系画点A(38,28),点B(114,-48),连接AB,作AB的中垂线GC,交横轴于点C,C点即为应力圆的圆心,AC(或BC)为半径画应力圆。
设CM长度为x,则有
显然拉压杆内一点处的应力随所取截面的方位变化而变化。构件内一点的应力与点的位置及过该点平面的方位有关。在受力构件的同一截面上,各点处的应力一般是不同的,而通过受力构件内的同一点处,不同方位截面上的应力一般也是不同的。
轴向拉压杆的横截面上有最大的正应力,其强度条件为
σu是材料的失效应力,可以通过单向拉伸试验测得,塑性材料取屈服极限,脆性材料取强度极限。
梁发生对称弯曲时的弯曲应力分布(如矩形截面)如下图
在上下边缘处有最大的正应力,切应力为零,与拉压杆内各点的应力情况一样,处于单轴应力状态,所以强度条件与拉压杆相同
梁的最大切应力在中性轴上,正应力为零,与圆轴扭转横截面上各点的应力情况相同,处于纯剪切应力状态,可通过扭转试验测量材料的极限应力,强度条件为
正应力和切应力的许用应力都是通过试验测得材料的极限应力,并除以安全因数得到。
梁横截面上除了上下边缘和中性轴,其他各点处既有正应力,又有切应力,在通常情况下,受力构件内一点处往往应力比较复杂,要进行强度计算,就不能简单的分别按正应力或切应力来建立强度条件,而是需要综合考虑正应力和切应力的影响。
这就需要通过分析一点在各个不同方位截面上应力的变化规律,确定最大正应力和最大切应力及其所在截面的方位,在复杂应力状态下,显然不能简单的通过试验方法得到材料的强度条件,根据材料的失效形式,寻找引起材料失效的原因,根据一定的理论依据,通过简单试验确定失效条件,从而建立复杂应力状态的强度条件。
通过受力构件内一点所有平面上的应力情况的总和,称为该点的应力状态。
为了研究构件内一点的应力,围绕该点取微小正六面体,称为单元体,如下图
单元体的尺寸无限小,设每个平面上的应力均匀分布,根据平衡条件,任意一对相互平行平面的应力大小相等,方向相反,因此单元体的应力描述只需要说明三个平面上的应力即可。每个平面上有三个应力分量,一个正应力,两个切应力,共有九个应力分量,根据切应力互等定理,则有六个独立的应力分量,三个正应力、三个切应力
若单元体的平面上切应力为零时,该平面称为主平面,对应的正应力称为主应力,当单元体三个方向的平面均为主平面时,单元体称为主单元体。
主应力按代数值大小排序
当三个主应力中只有一个不为零时,称为单向应力状态;只有一个为零,称为二向应力状态(或平面应力状态);三个均不为零,称为三向应力状态(或空间应力状态)。
对构件内一点应力分析的目的,就是确定该点的主应力,及其主平面的方位。
轴向拉压杆的横截面上只有正应力,杆内各点均处于单向应力状态。
薄壁压力容器在内压作用下,筒壁各点处于二向应力状态。
火车轮与铁轨接触点,处于三向应力状态,且三个主应力均为压应力
单向应力状态(如拉伸或压缩变形),已经根据试验确定材料的失效应力,并给出了杆件的强度条件,构件中的危险点往往出现在构件的表面,而构件表面上的点一般处于二向应力状态,二向应力状态分析是材料力学中的重要内容。
解析法:
所谓二向应力状态即有一个主应力为零,为了方便,设z方向平面应力为零,即
在平面应力状态中,规定拉应力为正,切应力对单元体内任意一点取矩顺时针为正。
应力分析的目的是确定单元体的主应力和主平面的方位,主平面即切应力为零的平面。在单元体上任意取一个斜截面,计算斜截面上的应力,显然斜截面上的应力与截面的方位有关系,然后令切应力为零,就可以确定主平面方位,进一步确定主应力的大小。
任意斜截面的方位角,从x轴向平面外法线方向n转动,逆时针为正。取三角形单元abc设斜截面ab的面积为dA,应力为σa、τa,受力如上图所示,建立三角形单元体的平衡方程
可求得主平面的方位α0及α0+90°。把主平面的方位代入(1)式,可求得主应力。
从(1)(2)可见,斜截面上的应力是方位角的周期函数,下面计算正应力的极值,令正应力对方位角导数等于零。
显然正应力取极值时,切应力等于零,即正应力的极值就是主应力,主应力大小
可见切应力极值所在平面与主应力所在平面的夹角为45度。
图解法:
把(1)(2)式重写
若以正应力为横轴,以切应力为纵轴,上述方程描述的是一个圆周,称为应力圆(或莫尔圆),即在单元体上任意取一个与z轴平行的斜截面,以斜截面上的正应力为横坐标,以切应力为纵坐标,所得的点均在莫尔圆的圆周上。
应力圆的做法:
①以正应力为横坐标,切应力为纵坐标,建立坐标系;
②分别以单元体上两个不平行的平面上的正应力和切应力,分别为横坐标和纵坐标,描点A、B;
③连接A、B两点,作AB的中垂线,中垂线与横轴的交点即为圆心C,AC(或BC)为半径,作应力圆。
从上图中可见,应力圆与横轴的交点D、E对应的就是主应力,应力圆的最高点和最低点M、N切应力的极值。
若以法线方向为x轴的平面上的应力画点A(σx,τxy),以法线方向为y轴的平面上的应力画点B(σy,τyx),根据切应力互等定理,τxy和τyx大小相等,符号相反,即A、B两点的纵坐标大小相等,一个在横轴上边,一个在横轴下边,连接AB点与横轴的交点C,由几何关系可知C点的坐标为
即为应力圆的圆心。
应力圆与单元体的对应关系为:点面对应、两倍夹角、转向一致。
点面对应:应力圆上的一个点,对应单元体上一个斜截面,是一一对应关系;
两倍夹角:应力圆上两个点所夹圆弧对应的圆心角,是两个斜截面夹角的两倍;
转向一致:应力圆上从一点到另外一点的转向,与对应的两个斜截面的转向一致。
应力圆直观地描述了单元体各个平面上的应力情况,应力圆与横轴的交点对应的应力值即为主应力大小,圆心坐标加上半径为最大正应力,圆心坐标减去半径即为最小正应力(与主应力的解析表达式一致)。圆的半径即为最大切应力大小(与最大切应力的解析表达式一致)。
如果应力圆上从A点顺时针转到E点的转角为2α0,对应单元体上从x轴顺时针转动角α0方向即为主平面方位,如上图所示。
例1:如图所示应力状态,图中的应力单位为MPa,试用解析法及图解法求:(1)主应力大小,主平面的方位;(2)在单元体上绘出主平面位置及主应力方向;(3)最大切应力。
(当σx>σy时,小角度α0对应最大的正应力;当σx<σy时,大角度α0对应最大的正应力)
本题σx<σy,α0=109.33°(或-70.67°)对应最大的正应力。
主平面方位如图所示。
最大切应力
图解法
以正应力为横坐标,切应力为纵坐标,建立坐标系(每单位长度:5MPa),点A的坐标(-20,20),点B坐标(30,-20)。
作应力圆如图所示,由CA逆时针旋转2α0,D点对应最小正应力,主单元体如右图所示。
可以通过测量得到2σ0=38°,D点横坐标27(MPa),E点横坐标27(MPa)。即对应两个主应力
所以α0=19.33°
例2 已知平面应力状态下某点处的两个截面上的应力如图,试用应力圆求该点处的主应力值和主平面方位,并求两截面间的夹角a值。
解:在坐标系系画点A(38,28),点B(114,-48),连接AB,作AB的中垂线GC,交横轴于点C,C点即为应力圆的圆心,AC(或BC)为半径画应力圆。
设CM长度为x,则有